September 2017
Conventional agriculture practices such as continuous tillage lead to the disruption of soil structure and loss of fertile top soil, resulting in a reduction of soil productivity. Conservation agriculture (CA) is recognised as a way to combat soil deterioration brought on by conventional cultivation.
CA practices in crop production systems may provide different habitats for hosting and supporting pests and may influence beneficial insect populations including underlining biodiversity that supports many ecosystem services.
Insects play many important roles within an ecosystem such as predators, pollinators, detritivores, herbivores and parasitoids. They are efficient indicators of ecosystem functions, ideal to monitor the quality of a habitat and to observe how a site changes from time to time, and to measure habitat differences.
There is a general lack of information and statistics concerning the effect of CA on arthropod diversity, and the potential ecosystem services they provide in South Africa.
To understand the impact of landscape structures on the diversity and abundance of beneficial and harmful arthropods, pest regulation and ultimately crop yield can be of significant help to enhance the management of agricultural landscapes.
During the growing seasons of 2014/2015, 2015/2016 and 2016/2017 arthropods were sampled via pitfall traps in the Ottosdal, Hartbeesfontein, Sannieshof, Vredefort and Kroonstad areas where well-established CA and conventional farming systems were implemented.
Arthropods are invertebrate animals of the large phylum Arthropoda, such as insects, spider, or crustacean. A total number of 40 000 soil-dwelling arthropods and 197 morphospecies were collected during this study from 14 different orders and 30 different families.
The term morphospecies is defined as organisms that are classified in the same species if they appear identical by morphological criteria.
Morphospecies as well as their abundance at a certain time can be tracked to the date of occurrence and what treatment were used along with the type of crop planted (Table 1). To prevent crop damage by insects, it is essential to monitor and inspect the crop fields regularly. The identification of morphospecies and data recorded are of great value to monitor the density of the occurrence of pests.
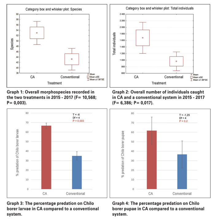
Over the past three growing seasons the number of morphospecies was significantly higher in a CA system as compared to the conventional systems. Therefore, tillage practices may target certain morphological species types (Graph 1).
The overall total number of individuals was significantly higher in a CA system than conventional farming system. CA contributes in supporting a higher and richer biodiversity (Graph 2).
To determine if CA can provide ecosystem services by controlling pests with beneficial insects, the Chilo borer (Chilo partellus) was used. Larvae and pupae of the Chilo borer (Photo 1) were pinned onto petri dishes to monitor the predator activity between CA and conventional farming systems.
Results from this experiment can be used to determine if CA provides potential ecosystem services through controlling insect pest with beneficial insects.
The total percentage predation of the Chilo borer larvae by beneficial predators differs significantly (P = 0,003) between CA and conventional farming (Graph 3). Although no significant difference was observed with the percentage predation on Chilo borer pupae (Graph 4), the predation was still higher in CA compared to the conventional system.
It is clear from data compiled that arthropods react to the conditions surrounding them. Therefore, the habitat of beneficial insects must be protected and maintained by leaving crop residue on the ground. CA practices support the increase and build-up of natural enemy population.
Ecosystem services depend on arthropod movement, abundance and diversity across agricultural landscapes at different scales. The biodiversity is higher in CA than conventional practices and a higher diversity relates to increased ecosystem services.
Publication: September 2017
Section: Focus on