

FOKUS
Diere
Spesiale
Oktober 2016
50
Breër oorsig van die
beesvleisbedryf
D
ie afgelope jaar is gekenmerk deur uitdagende omstan-
dighede in die landbousektor. Die hele bedryf het gebuk
gegaan onder die ergste droogte in 100 jaar. Hierdie
knellende droogte het in verskeie bedrywe van die land-
bousektor ‘n groter uitdaging as gewoonlik ingehou.
Een bedryf wat veral swaar getrek het, was lewendehawe. Tekorte
aan genoegsame weiding en hoë voerkoste het reg oor die land
daartoe gelei dat produsente groter gedeeltes van hul kuddes
noodgedwonge moes verkoop en/of laat slag.
Alhoewel die jaar wat verby is in groot gedeeltes van die land
se landbougemeenskappe ‘n uitdagende jaar was, het daar tog
boodskappe van hoop vanuit alle oorde gekom. Die nuwe seisoen
met nuwe uitdagings lê nou voor en alhoewel herstel in die meeste
gevalle nog nodig is, is daar weer hoop en goeie vooruitsigte.
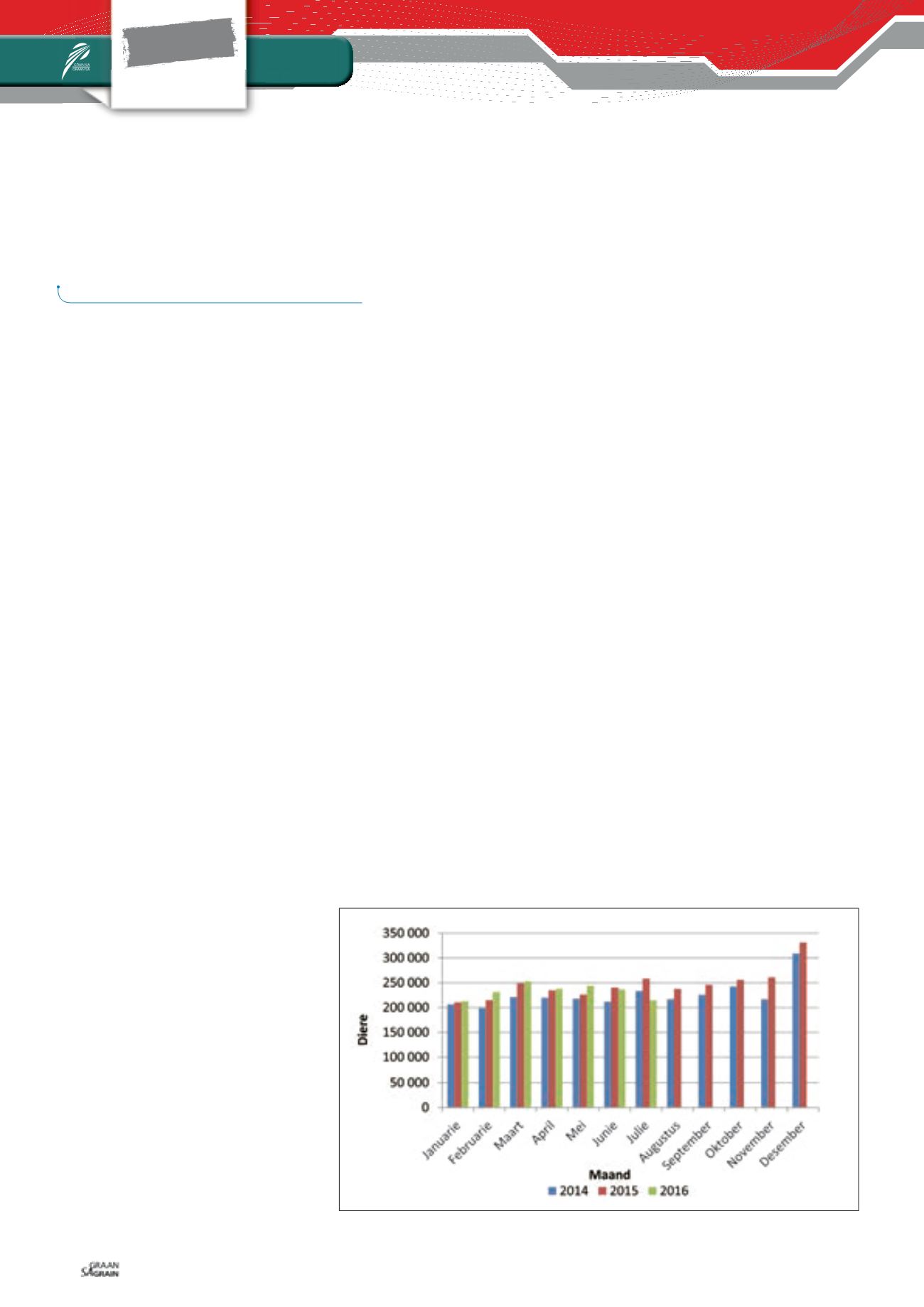
Maandelikse slaggetalle van beeste
Grafiek 1
toon die maandelikse slaggetalle van beeste in Suid-Afrika
vanaf Januarie 2014 tot en met Julie 2016.
Dit is duidelik dat die slag van diere ‘n redelik-merkbare tendens volg
en dat sekere maande belangriker slagmaande as ander is. Dit het
baie te doen met die vraag na vleis wat in sekere maande groter is
as in ander. Die grafiek toon ook duidelik dat die aantal vee wat per
maand geslag is, in 2015 toegeneem het vergeleke met dieselfde
tydperke in 2014. Die algemene tendens van slagsyfers per maand
het tot ‘n groot mate dieselfde gebly en slegs die aantal diere ge-
slag, het toegeneem.
Dit is ook duidelik dat die totale slagsyfers vir die eerste paar
maande van 2016 selfs hoër was as dié van die vorige twee jaar. Die
aansienlike hoër aantal diere wat tot dusver in 2015 en 2016 geslag
is, kan grootliks toegeskryf word aan die droogte en tekorte aan
genoegsame weiding vir diere.
Die hoër slagsyfers het tot ‘n groot mate
veroorsaak dat produsente se kuddes ver-
klein – soos dit in sommige gevalle nodig
geraak het om meer diere te verkoop as
waarop gehoop of beplan is.
Prystendense
Grafiek 2
toon die produsente weeklikse
A2/A3-karkaspryse, sowel as die speenkalf-
pryse vanaf 2007 tot en met Augustus 2016.
Pryse is tot ‘n groot mate siklies en
daar is duidelike korrelasies tussen die
speenkalfpryse en die karkaspryse. Die
pryse is volatiel en daarom is goeie, oor-
deelkundige bemarking belangrik om pro-
dusente teen prysrisiko’s te beskerm.
Die pryse toon tot ‘n groot mate ‘n korre-
lasie met mieliepryse. Mielies maak ‘n
groot deel van voerkraalrantsoene uit en
derhalwe speel die mielieprys ‘n belangrike rol in die bepaling van
die aankooppryse van speenkalwers vir voerkrale.
Dit is belangrik om hierdie faktore in ag te neem wanneer besluite
oor bemarking en beplanning op grond van tendense en prysvoor-
spellings geneem word.
Ander uitdagings
Die rooivleisbedryf het ook, net soos die ander bedrywe in die
landbousektor, uitdagings waarmee produsente op ‘n daaglikse
basis gekonfronteer word. Hierdie uitdagings strek wyd en een van
die grootstes in hierdie bedryf is kostes.
Kostes, veral voerkostes, speel ‘n belangrike rol in die rooivleis-
bedryf en maak ‘n groot deel van die veranderlike kostes van ‘n
tipiese beesplaas uit. Voere kan strek van gebalanseerde voer-
rantsoene tot en met aanvullings wat in die vorm van lekke aan
diere gegee word om sekere tekorte wat in die natuurlike weidings
voorkom, aan te vul.
Die koste van voere is baie afhanklik van verskeie faktore – wat
strek vanaf die prys van grondstowwe tot en met energiekostes
vir die vervaardiging en verspreiding van die voere. Die teen-
woordigheid van die sogenaamde pryskosteknyptang is ook sig-
baar in die bedryf en
Grafiek 3
toon die voerkostes teenoor die
produsentepryse in terme van indekswaardes.
Uit Grafiek 3 is dit duidelik dat daar wel in die beesbedryf ‘n
pryskosteknyptang bestaan. Wat bedoel word met ‘n pryskoste-
knyptang is in kort dat die koste van produksie vinniger toeneem
as die produsenteprys. Dit is duidelik dat die kostes van voere
die afgelope drie jaar teen ‘n vinniger tempo as die produsenteprys
vir beeste toegeneem het. Dit sluit slegs die voerkostes in en nie
die ander kostes soos arbeid en gesondheidsmiddels nie.
LUAN VAN DER WALT,
landbou-ekonoom: Graan SA
Grafiek 1: Slaggetalle van beeste (2014 tot Julie 2016).
Bron: RMLA